皮山县
墨玉县
和田市
和田县
洛浦县
策勒县
于田县
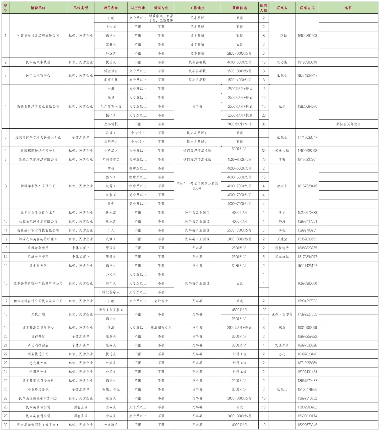
民丰县
咨询电话:2029020
和田地区2025年下半年及和康县、和安县2025年面向社会公开招聘事业单位工作人员笔试合格分数线和招聘工作安排公告
和田地区2025年下半年及和康县、和安县2025年面向社会公开招聘事业单位工作人员面试日程安排及有关事宜的通知
和田地区2025年第二批大学生乡村医生专项计划招聘人员笔试合格分数线查询及资格审查公告
和田地区各县市企业招聘信息公告(第四十八期)
和田地区各县市企业招聘信息公告(第四十七期)
和田地区各县市企业招聘信息公告(第四十九期)
和田地区各县市企业招聘信息公告(第一期)
返回顶部